Цена и план продаж на медицинский товар в условиях кризиса и роста валюты

#практика
#исследования
Я оформил кейс на основе эконометрического исследования зависимости цены и спроса на медицинский товар, который зависит от курса валют. Исследование длилось ~3 года. Собрал опыт анализа цены и продаж, который помогает строить адекватный план продаж на год вперед. Управляем ценой, при закупках в валюте. Практические примеры принятия решений в компании.

Цена и план продаж на медицинский товар в условиях кризиса и роста валюты

Идеи, которые появятся после прочтения этого материала:
  • Как построить адекватный прогноз продаж с учетом цены.
  • Формировать цены, если цена на товар сильно зависит от курса валют.
  • Как действовать, если продажи товара снижаются на 30% год к году.
  • Куда направить деньги, чтобы получить увеличение продаж.
  • Как доказать производителю/поставщику необходимость дать лучшие цены.
В этой статье поделюсь опытом анализа изменения цены на спрос на примере медицинского изделия. Мой кейс относится к исследованию продукта. Исследование длилось ~3 года.
Удивительно, как мало специалистов по маркетингу использует математические методы анализа в своей работе. Современные программы позволяют это делать за минуты. А пользы – вагон.

Применение технического анализа даст:
  • строить высоковероятный прогноз продаж с поправкой «от-до»;
  • принимать решения о цене с учетом рыночных условий;
  • аргументированно требовать от производителя дополнительных скидок и преференций.
Зачем делать это исследование?
Причины проведения исследования:
  • появление на рынке сильного конкурента;
  • появление на рынке товара-заменителя или субститута;
  • необходимость дать объективный прогноз продаж на ваш товар;
  • необходимость договориться с поставщиком о скидках и преференциях;
  • попрактиковаться в маркетинговых исследования.
Уверен, что руководители и маркетологи владеют ситуацией на своем рынке. Понимают «куда дует ветер». Предлагаю усиливать эти знания точным подсчётом. Исследование, которое описано ниже, помогает получить приближенное понимание ситуации на рынке сбыта в цифрах.

Статистические данные для исследования
Для проведения анализа использована модель линейной функции по двум показателям: продажи и цена. Данные о продажах я взял из внутренней статистики компании в России. И разложил в 3 столбца: период, цена, количество продаж.
Таблица результатов продаж за период:
ОПЫТ. Вы можете взять свои данные по периодам: по годам, кварталам и месяцам. Чем больше данных, тем точнее результаты. Практика говорит о том, что выбор размера периода должен быть обоснован циклом сделки. Если цикл продажи занимает длительное время берите по годам, если месяц – лучше квартал.

Еще один важный момент – анализ по годам позволяет строить план продаж, а по кварталам помогает выявлять сезонную нагрузку.
Те из нас, кто изучал дисциплину «Эконометрика» хорошо помнят какой длительный пошаговый процесс проведения анализа данных. Много таблиц, множители, производные, логарифмы и другие вычисления. Специалистам, которые владеют этой наукой низкий поклон и искреннее уважение. Напишете свое мнение о кейсе?
Я оставлю за скобками информацию о процессе и перейду сразу к результатам вычислений. Ниже информация об инструментах, которые были использованы. Если же Вам нужен пошаговый расчет - приглашаю связаться со мной.

Калькулятор для планирования продаж готов.
Для указанного выше набора данных я провел анализ параметров линейной регрессии. Наглядно это выглядело примерно так:
Что это дало? Это позволило создать математическую модель, которая описывает наши данные и позволяет «поиграть» с прогнозом. Теперь можно поставить нужную компании цену и увидеть прогноз объема продаж на следующий год. Берите – используйте. Это немалая помощь при решении о поднятии цен на следующий финансовый год.

Расшифровка результатов и выводы
Прогноз продаж при изменении цены.
Для расшифровки нужно немного математики. Сейчас будем строить прогноз продаж. Чтобы построить прямую на плоскости нужно 2 точки. Прямая задается уравнением для построения прямой yx=a+bx. Цифры «31911,499» и «-32,718» это значения «a» и «b» для построения прямой. Вот какая формула вычисления прогноза получается.
Подставим цену, которая нужна компании и видим прогноз на следующий год. В рисунке показано сразу 4 варианта развития событий.
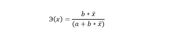
Насколько сильная связь между ценой и количеством продаж.
Что цена влияет на продажи понятно без математики. Однако в этом абзаце речь о том, насколько сильно связаны выбранные нами данные: цена и продажи.
В моем кейсе существует прямая сильная (тесная) связь между ценой на продукт и результатом продаж. Коэффициент корреляции данных = 0,89. Вычисляется как квадратный корень из числа 0,789 (смотрите в таблице выше).

ОПЫТ. Если захотите сделать похожий анализ для семинаров (вебинаров), то очень важно проверить силу связи цены и количества продаваемых билетов. В семинаре, например, немаловажную роль будет играет актуальность темы. Это может спутать результат анализа. Если связи не будет, то и прогноз будет не состоятельным.

Как менялось влияние цены на спрос.
Стало очень интересно, когда разделил анализ на два периода – до снижения продаж и после. С 1-го до 3-го года. И с 4-го по 6-й год. Итоги оказались показательными!
До 3-года включительно года цена влияла на продажи лишь на 12,5%. 87,5% объяснялось прочими факторами влияния. Это говорит о том, что покупатели соглашались приобретать, в меньшей степени ориентируясь на стоимость. Это вполне понятно, ведь товар на тот момент не имел прямых конкурентов и имел статус «инновационного». А товары-заменители еще не получили широкого распространения.
В 6 году цена влияла на продажи уже на 78,9%. Лишь 21,1% объяснил прочие факторы (реклама, техническое сопровождение, обучение и другие мероприятия). Вывод - цена стала определяющим фактором, влияющим на продажи.
С 4 года продажи снижались. Был сделан вывод, что это связано со снижением рекламной поддержки бренда со стороны производителя. А также с 4 года в России появился прямой конкурент с аналогичным товаром. У покупателей появилась более дешевая альтернатива, которая имела более сильную рекламную поддержку. Эти два факторы значительно усилили связь цены и продаж за период. Ниже вернемся к этому обстоятельству, как к способу добиться снижения цен у поставщика.
Заложить «люфт» для прогноза результатов.
Разница между расчётами и фактами всегда есть. Чтобы эта разница была учтена итоговые прогнозы предлагались в виде интервалов «от и до». Для этого вычислил ошибку для указанного набора данных через пакет анализа. Она составила ~13%.

Вот как выглядел прогноз продаж с учетом ошибки на ~13%.:
Для стоимости товара= 800$, значение продаж колеблется в пределах: ~4991 шт. <… <~6483 шт.*
Для стоимости товара= 820$, значение продаж колеблется в пределах: ~4422 шт. <… <~5744 шт.*
Для стоимости товара= 900$, значение продаж колеблется в пределах: ~2145 шт. <… <~2786 шт.*
Какова максимальная цена, при которой вообще перестанут покупать товар.
Вы хотите знать предел цены, по которой товар еще можно будет продать? Используя созданную простую модель, я представил руководству и этот ответ:
Для стоимости товара свыше 975 $. – анализ требует поквартального анализа.
При цене 975 $ за 1шт продукта придется приложить усилия, чтобы продать несколько штук. Важно отметить, что в данном кейсе прогноз строится без учета других факторов.
В идеале нужно делать поправку на другие важные обстоятельства работы:
  • семинары по продукту;
  • реклама;
  • конкуренция;
  • сильное изменение курса валют и т.д.
Все эти параметры также можно заложить в модель.
Представленные прогнозы сделаны при условии неизменности факторов, которые работали в 6 году.

Насколько можно доверять этой модели?
Анализ качества уравнения указывает, что влияние цены на количество продаж не случайное. Это очевидно. Важно это проверять. Если бы мы взяли другой набор данных (по месяцам), то модель имела бы схожие характеристики. Результаты прогноза на 90% верны при повторных аналогичных исследованиях. Оценка значимости проводилась по F-критерию Фишера.
Как изменяется спрос по цене? Эластичность по цене.
Фактически с каждым новым уровнем цены меняется и эластичность спроса. Чем выше ценник, тем скорее снижается спрос на товар. Для практической пользы посмотрели эластичность спроса при цене = 820$.
При изменении цены на 1% - спрос снизится на ~5%
Эластичность спроса при цене = 500$ (в момент появления конкурента). При изменении цены на 1% - спрос снижался на ~2%.
Интересно, что конкуренция сделала спрос в ~2,5 раза чувствительнее к изменению цены. Ожидаемо, но в цифрах более убедительно.
Принятие решение по ценовой политике.
Напомню, цена на товар формировалась исходя из курса рубля к доллару. Кризис 5-6 года сильно изменил цену, ведь доллар вырос в 2 раза (с 33 до 65 рублей за доллар). Продажи замерли из-за постоянно растущей цены продукта. Клиенты стали выбирать альтернативное решение. Маркетинговое исследование показало, что клиентам нужна была предсказуемость в ценообразовании. Руководство принимает решение зафиксировать верхнюю стоимость продукта по максимальной цене, но при этом, исключить шок для самой компании. И это сработало!

Предложение рынку выглядело так:
Стоимость товара все также оперяется по курсу доллара. За 1 доллар клиент все также будет платить по официальному курсу Российского Центрального Банка. Однако, если курс доллара превысит установленный компанией предел (75 рублей), компания обязуется взять на себя затраты свыше этого уровня. Стоимость товара по итогу составляет 900$, но не более, чем 67 500 рублей. В случае, если курс будет ниже 75 – цена будет пересчитана в пользу клиента. Это решение вернуло доверие рынка и стабилизировало продажи.
Посмотрите рисунок ниже. Видно, что компания шла на риск, но удержала рынок, благодаря своему решению. Это позволило избежать шока и вытеснить товара с российского рынка.
Добиваемся лучших условий от производителя.

Итоги исследования позволяют предполагать, что если компания здесь и сейчас вложила бы деньги в рекламу, то спрос мог бы измениться на ~20%, ведь таков уровень влияния рекламы на спрос в нашем кейсе. Что делать?

При беглом взгляде на модель понятно, что искать решение ситуации следует в цене, а не в рекламе. Сила влияния цены настолько велика, что будет все больше влиять на выбор покупателя.

Эксперимент со стоимостью в указанной модели позволяет обнаружить следующие прогнозы:
  • - если цену оставить на уровне прошлого года, то продажи упадут еще 10-15%;
  • - если устанавливать справедливую стоимость = 820$, значение продаж колеблется в пределах: ~4422 шт. <… <~5744 шт.*;
  • - если снизить стоимость продукта на 10%, то прогноз продаж значительно вырастет. Для стоимости товара = 720$, значение продаж колеблется в пределах: ~7268 шт. <… <~9440 шт.

В этой модели видно, что предоставление дополнительной 10% скидки от производителя позволит увеличить сбыт на порядок. Производитель руководствуется своими соображениями, но законы экономики одинаковы для всех. Если коротко и просто, то для производителя дешевле дать скидку, чем остановить конвейер.

Используйте модель с умом
В материале была представлена только математическая модель. Она дает лишь общее понимание событий и не является неоспоримой. Уверен, что опытные маркетологи и экономисты добавят еще несколько важных факторов влияния: курс доллара, покупательская способность населения, количество специалистов, которые будут продавать товар и т.д. Но даже эта простая модель дала много пищи для ума.

Проводить технический анализ влияния цены на спрос – нужная и полезная операция. Исследуя эту тему, вы можете найти много идей для улучшения своего положения на рынке и для получения преимуществ.

Вместо финала

Made on
Tilda